what is the average rate of change of a function over an interval
what is the average rate of change of a function over an interval. There are any references about what is the average rate of change of a function over an interval in here. you can look below.
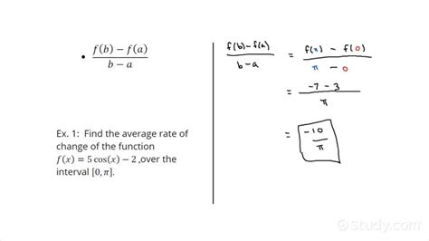
Showing posts matching the search for what is the average rate of change of a function over an intervalPopular Posts
Search Here
Arsip
-
▼
2023
(291)
-
▼
December
(20)
- Best Love Quotes For Wedding Anniversary
- Sad Disappointment Love Quotes
- Circus Joker Sad Quotes
- I Love Tattoo Quotes
- 100 Short Love Quotes
- Quotes About Cake And Love
- Break Up Quotes But Still Love Him
- Happy Birthday To My 10 Year Old Son Quotes
- Door Love Quotes
- Happy Birthday Quotes To Daughter From Dad
- Famous Love Quotes For Weddings
- Learning To Love Myself Quotes
- I Love Honesty Quotes
- Happy Friendship Day Images And Quotes
- Remembering A Deceased Loved One Quotes
- Romantic Cute Love Quotes
- Couples Who Love To Eat Quotes
- Happy Birthday Big Sister Quotes In Hindi
- Husband And Wife Love Quotes In Telugu
- Sad Love Quotes Tagalog Tripod
-
▼
December
(20)
Featured Post
Best Love Quotes For Wedding Anniversary
Best Love Quotes For Wedding Anniversary . “i love you not only for what you are, but for what i am when i am with you. Web looking for ...